หน้าหลัก
เกี่ยวกับ
อบต.
ข้อมูลอบต.
หน่วยงานและอำนาจหน้าที่
การเสริมสร้างวัฒนธรรมองค์กร
ตรวจสอบภายใน
การปฏิบัติงาน
การให้บริการ
โครงสร้าง
การบริหาร
แผน เเละ
ข้อบัญญัติ
นโยบายผู้บริหาร
แผนพัฒนาท้องถิ่น
แผนพัฒนาบุคลากร
แผนการดำเนินงาน
ผลการดำเนินงาน
รายงานติดตามผลการดำเนินการประจำปี รอบ 6 เดือน
รายงานติดตามผลการดำเนินการประจำปี
แผนอัตรากำลัง
แผนปฏิบัติการลดใช้พลังงาน
รายงานการติดตามและประเมินผลแผนพัฒนา
การประเมินผลการปฏิบัติราชการตามหลักเกณฑ์การบริหารกิจการบ้านเมืองที่ดี
ข้อบัญญัติ งบประมาณ
ข้อบัญญัติ กฎหมาย
การบริหาร
งานคลัง
แผนจัดซื้อจัดจ้างหรือจัดหาพัสดุ
แผนการใช้จ่ายประจำปี
รายงานติดตามการใช้จ่ายงบประมาณ รอบ 6 เดือน / ประจำปี
รายงานผลการจัดซื้อจัดจ้างหรือการจัดหาพัสดุประจำปี
การบริหาร
ทรัพยากรบุคคล
นโยบายการบริหารทรัพยากรบุคคล
การดำเนินการตามนโยบายการบริหารทรัพยากรบุคคล
หลักเกณฑ์การบริหารและพัฒนาทรัพยากรบุคคล
รายงานผลการบริหารและพัฒนาทรัพยากรบุคคลประจําปี
แผนพัฒนาบุคลากร
แผนอัตรากำลัง
ช่องทางร้องเรียนการบริหารงานบุคคล
มาตรฐานกำหนดตำแหน่ง
ข่าวสาร เเละ
ประกาศ
ข่าวประชาสัมพันธ์
ข่าวภาษี
ข่าวกิจกรรม
ข่าวจัดชื้อจัดจ้าง และ พัสดุ
ข่าวการเงิน
กิจการสภา
ระเบียบ
กฎหมาย
กฎหมายที่เกี่ยวข้อง
ระเบียบต่างๆที่เกี่ยวข้อง
คำสั่ง/ประกาศ
หนังสือเวียน
การป้องกัน
การทุจริต
ช่องทางรับเรื่องร้องเรียนทุจริตและประพฤติมิชอบ
เจตจำนงสุจริตของผู้บริหาร
การมีส่วนร่วมของผู้บริหาร
แผนป้องกันการทุจริต
รายงานติดตามการป้องกันการทุจริตประจำปี รอบ 6 เดือน
รายงานติดตามการป้องกันการทุจริตประจำปี
คู่มือการดำเนินการต่อเรื่องร้องเรียนทุจริต
การประเมินความเสี่ยงการทุจริตประจำปี
การดำเนินการเพื่อจัดการความเสี่ยงทุจริต
มาตรฐานส่งเสริมคุณธรรมและความโปร่งใสภายในหน่วยงาน
การดำเนินการส่งเสริมคุณธรรมและความโปร่งใสภายในหน่วยงาน
เเนวปฏิบัติการการจัดการเรื่องร้องเรียนทุจริต
ข้อมูลเชิงสถิติเรื่องร้องเรียนการทุจริต
ติดต่อ
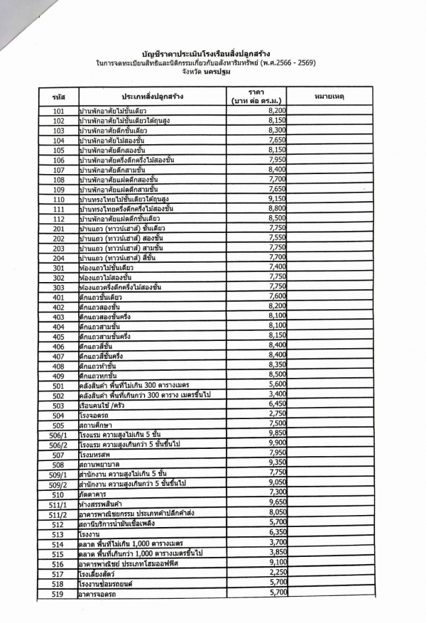
ประกาศ เรื่อง ราคาประเมินทุนทรัพย์ของที่ดินและสิ่งปลูกสร้าง ภ.ด.ส. 1 ประจำปี พ.ศ.2568
23 มกราคม 2568
ประเภท : ข่าวภาษี
ข้อมูลรูปที่เกี่ยวข้อง
ข้อมูลไฟล์ที่เกี่ยวข้อง
ประกาศ เรื่อง แบบบัญชีราคาประเมินทุนทรัพย์ของที่ดินและสิ่งปลูกสร้าง ภ.ด.ส.1 ประจำปี 2568.pdf
ราคาประเมินทุนทรัพย์ของที่ดินและสิ่งปลูกสร้าง ภ.ด.ส. 1.pdf